Picture 1: The trial 48 days after the plantation
Three fertilizers were tested (BBF1, BBF2, BBF3) and compared with the “farmer fertilizer” and “no fertilizer” (control) modalities. Initially, correct plant development was observed (cf. photo1).
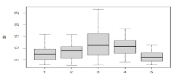
The average biomass produced at d+30 after planting was slightly higher for the fertilizers than for the control modality (6.4 g mean dry weight), with an effect that seemed greater for BBF3 (12 g mean dry weight) (and for the farmer’s fertilizer) (cf. figure 1). Nevertheless, variability is very high within the same fertilization modality and there is no significant difference. Disparities between microplots seem to have more to do with their location (see figure 2).
In addition, the climate and phytosanitary problems (diseases / physiology /…) prevented us from completing the trial and seeing the effects of fertilizers on the plant’s complete cycle. Measurements (biomass, plant C/N, residues, etc.) could only be taken on young plants, and not at the decisive moment of harvest.
Future results from samples taken during the season (soil, plants) will provide an overall view of the effect of these fertilizers on the crop and the soil.

Figure 1: Broccoli weight distribution according to fertilizer (sample taken 30 days after planting)

Figure 2: Average dry weight per fertilizer as a function of replication
1 : Modality 1: BBF1
2 : Modality 2 : BBF2
3 : Modality 3 : BBF3
4 : Modality 4 : engrais AB
5 : Modality 5 : pas d’engrais